欢迎您进入BuGuHealth官方网站,联系我们

最近,清华大学体育部马新东教授研究团队和清华大学万科公共卫生与健康学院底骞副教授团队合作,在环境科学与生态学领域顶级国际期刊《Environment International》(IF = 9.621)发表了题为 “Physical activity attenuates negative effects of short-term exposure to ambient air pollution on cognitive function” 的研究论文。

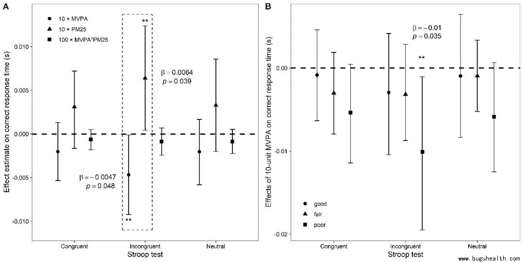
该研究揭示了空气污染和运动对执行功能的交互作用,指出体育锻炼可以作为一种预防措施来削弱中、轻度空气污染对认知的损害。

研究者通过对 90 名大学生暴露的环境日均 PM2.5 浓度、运动量、大脑执行功能进行重复测量与评估,结合脑电技术,测量脑电波信号,来尝试探索运动和空气污染对人类健康的影响。



参考文献:
Zhang Y, Ke L, Fu Y, Di Q, Ma X. Physical activity attenuates negative effects of short-term exposure to ambient air pollution on cognitive function. Environ Int. 2022;160:107070.

—END—
推荐阅读
布骨康复医疗中心物理治疗师均为物理治疗相关专业本科以上学历,均获得卫健委医疗资格认证,合法行医。More...
他们在许多领域都有专业知识,包括骨科术前术后康复,下肢力学及足踝康复、矫形鞋垫技术、产后恢复,脊柱侧弯矫正,肌骨疼痛、运动医学、手法治疗、矫形学和个人体能训练等方面具备较好的实践经验。More…
---------------------------------------------------------------------------------------------------------------------------------
我中心开展骨科、运动医学科、妇产科、康复医学科、中医科,主要治疗项目为物理治疗为:骨科术前术后康复,下肢力学及足踝康复、矫形鞋垫、产后恢复,脊柱侧弯矫正,肌骨疼痛、运动损伤等项目,详情点击。More…